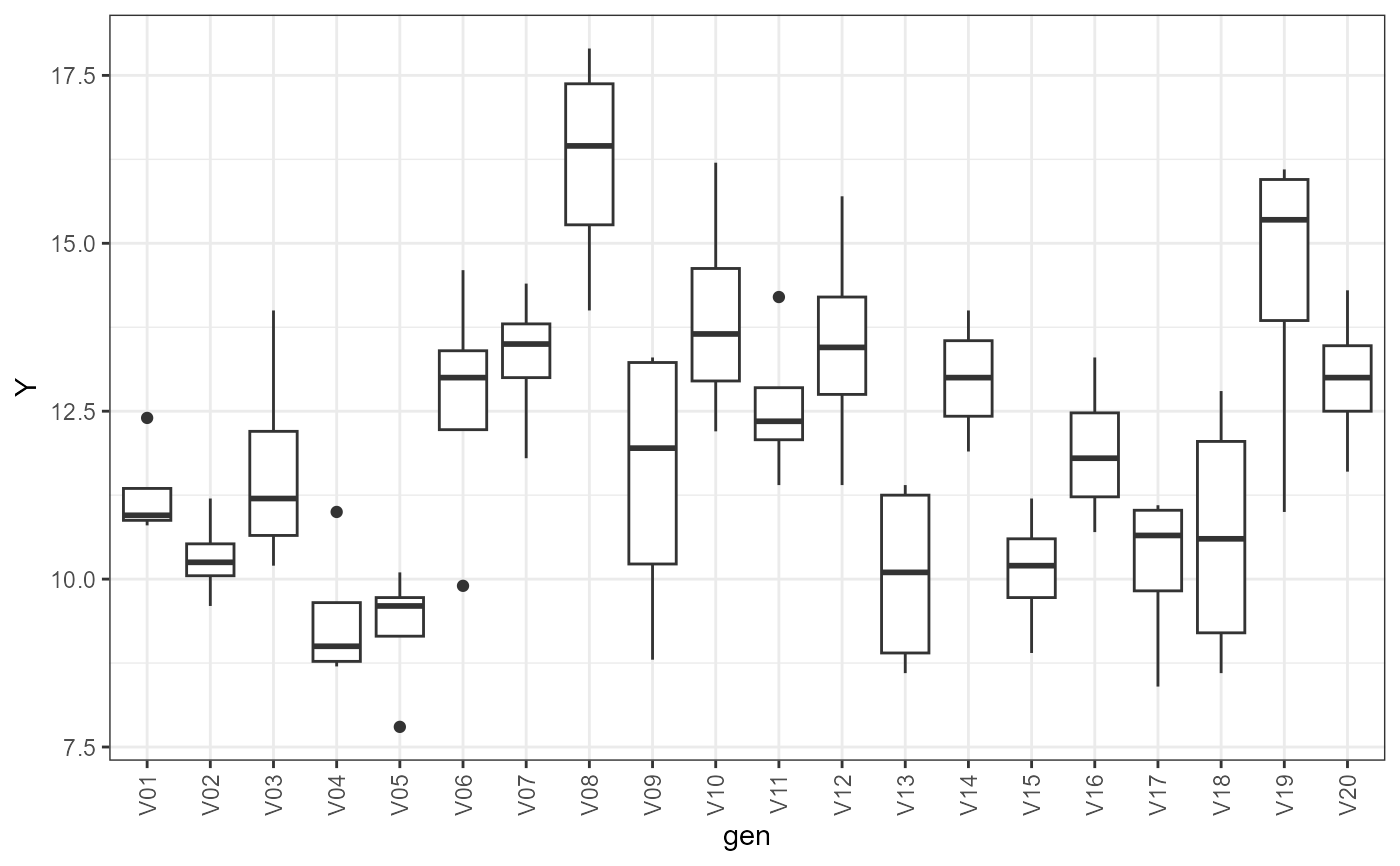
The function generates two types of plots: i) a heatmap representing the grid. The cells are filled according to the phenotype value of each plot; and ii) boxplots depicting the performance of each selection candidate

# S3 method for class 'comprepcrop'
plot(x, ..., category = "heatmap")

Arguments

x

An object of class comprepcrop

...

Currently not used.

category

A string indicating which plot to build. Options are "heatmap" for plotting the field grid (default), or "boxplot" for plotting the boxplots of phenotypic performance.

See also

ggplot2, prepcrop

Examples

# \donttest{
library(gencomp)
comps = prepcrop(data = potato, gen = "gen", row = "row", col = "col",
                 plt = NULL, effs = c("rep", 'matur'), trait = "yield",
                 direction = "row", verbose = TRUE)
#> 
 Running through the grid --> =                                                                         |  1%
 Running through the grid --> ==                                                                        |  2%
 Running through the grid --> ===                                                                       |  4%
 Running through the grid --> ====                                                                      |  5%
 Running through the grid --> =====                                                                     |  6%
 Running through the grid --> ======                                                                    |  8%
 Running through the grid --> ======                                                                    |  9%
 Running through the grid --> =======                                                                   | 10%
 Running through the grid --> ========                                                                  | 11%
 Running through the grid --> =========                                                                 | 12%
 Running through the grid --> ==========                                                                | 14%
 Running through the grid --> ===========                                                               | 15%
 Running through the grid --> ============                                                              | 16%
 Running through the grid --> =============                                                             | 18%
 Running through the grid --> ==============                                                            | 19%
 Running through the grid --> ===============                                                           | 20%
 Running through the grid --> ================                                                          | 21%
 Running through the grid --> =================                                                         | 22%
 Running through the grid --> ==================                                                        | 24%
 Running through the grid --> ==================                                                        | 25%
 Running through the grid --> ===================                                                       | 26%
 Running through the grid --> ====================                                                      | 28%
 Running through the grid --> =====================                                                     | 29%
 Running through the grid --> ======================                                                    | 30%
 Running through the grid --> =======================                                                   | 31%
 Running through the grid --> ========================                                                  | 32%
 Running through the grid --> =========================                                                 | 34%
 Running through the grid --> ==========================                                                | 35%
 Running through the grid --> ===========================                                               | 36%
 Running through the grid --> ============================                                              | 38%
 Running through the grid --> =============================                                             | 39%
 Running through the grid --> ==============================                                            | 40%
 Running through the grid --> ===============================                                           | 41%
 Running through the grid --> ===============================                                           | 42%
 Running through the grid --> ================================                                          | 44%
 Running through the grid --> =================================                                         | 45%
 Running through the grid --> ==================================                                        | 46%
 Running through the grid --> ===================================                                       | 48%
 Running through the grid --> ====================================                                      | 49%
 Running through the grid --> =====================================                                     | 50%
 Running through the grid --> ======================================                                    | 51%
 Running through the grid --> =======================================                                   | 52%
 Running through the grid --> ========================================                                  | 54%
 Running through the grid --> =========================================                                 | 55%
 Running through the grid --> ==========================================                                | 56%
 Running through the grid --> ===========================================                               | 57%
 Running through the grid --> ===========================================                               | 59%
 Running through the grid --> ============================================                              | 60%
 Running through the grid --> =============================================                             | 61%
 Running through the grid --> ==============================================                            | 62%
 Running through the grid --> ===============================================                           | 64%
 Running through the grid --> ================================================                          | 65%
 Running through the grid --> =================================================                         | 66%
 Running through the grid --> ==================================================                        | 68%
 Running through the grid --> ===================================================                       | 69%
 Running through the grid --> ====================================================                      | 70%
 Running through the grid --> =====================================================                     | 71%
 Running through the grid --> ======================================================                    | 72%
 Running through the grid --> =======================================================                   | 74%
 Running through the grid --> ========================================================                  | 75%
 Running through the grid --> ========================================================                  | 76%
 Running through the grid --> =========================================================                 | 78%
 Running through the grid --> ==========================================================                | 79%
 Running through the grid --> ===========================================================               | 80%
 Running through the grid --> ============================================================              | 81%
 Running through the grid --> =============================================================             | 82%
 Running through the grid --> ==============================================================            | 84%
 Running through the grid --> ===============================================================           | 85%
 Running through the grid --> ================================================================          | 86%
 Running through the grid --> =================================================================         | 88%
 Running through the grid --> ==================================================================        | 89%
 Running through the grid --> ===================================================================       | 90%
 Running through the grid --> ====================================================================      | 91%
 Running through the grid --> ====================================================================      | 92%
 Running through the grid --> =====================================================================     | 94%
 Running through the grid --> ======================================================================    | 95%
 Running through the grid --> =======================================================================   | 96%
 Running through the grid --> ========================================================================  | 98%
 Running through the grid --> ========================================================================= | 99%
 Running through the grid --> ==========================================================================|100%
                                     
plot(comps, category = 'heatmap')

plot(comps, category = 'boxplot')


# }